CONTEXT
- In the coming decades, urbanization will become a decisive trend. Today, 50% of the world’s 7 billion people live in cities, and by 2050 this proportion will rise to 70%. Cities are home to extreme poverty and environmental degradation, and one billion people live in slums. In the past few years, the number of slum dwellers in many countries has increased significantly, while urban inequality has become increasingly serious. At the same time, about 75% of global economic activity is the urban activity, and as the urban population grows, the city’s share of global GDP and investment will also increase. Experts even predict that the land used to build cities will double in the next 20 years. To become a sustainable city in urban development, it is necessary to establish strong transportation, infrastructure, and other systems, and gradually reduce the shortage of infrastructure in the city, stimulate public and private actions, promote comprehensive thinking and strengthen accountability. Since many future towns have not yet been built, their design and shape must be actively guided to achieve long term sustainability.
- A positively designed guidance and predictive vitality value, a dedicated, independent urban sustainable development goal for mobilizing stakeholders, promote a comprehensive approach at the city level, and accelerate the realization of this goal.
- The aim of the “GHOSTtoHOST” tool is to measure the value of urban vitality which presents a major sustainable development opportunity, especially in areas with vacant spaces and low urban vitality.
- Create a sustainable digital smart city, and help landscape architects to redesign the city more intuitively and conveniently, and convert it into effective data. Cooperate with urban designers to transform into actual projects.
Project Aim
- The project identifies KPIs to measure and spatially map urban vitality in cities. This allows us to identify Low urban vitality areas, and also identify strategically what actions can be taken in these areas to enhance the urban vitality (which KPIs and parameters are lacking). To be able to act on these, the project in parallel maps vacant spaces, and overlapping these 2 maps to locate areas in which we can act to enhance the urban vitality of the area. Also to identity urban land-use and set up relationships formulas with urban vitality which explain KPIs in the diversity of land use has the different influenced weight that is the basis for the strategic planning decisions for urban planners. Finally the project simulation diverse development strategies and setting a library in tool to reshape spaces.
To illustrate this tool, this paper takes Barcelona city as an example.
How to collect data? And Urban vitality framework and Key Performance Indicator
Environment+Economy+Social
GHOSTtoHOST tool:
RESEARCH MAP

Dataset



Training dataset (Methodology) – get the score of urban vitality and diversity of urban land use.

The score of urban vitality

Diversity of urban land use

The map- urban vitality

The map – diversity of urban land use

more detail:
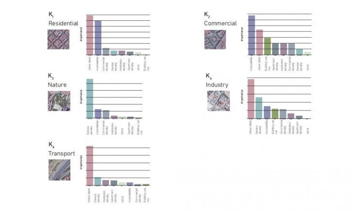
Conclusion 1:

In residential, industry, and transport areas, urban fabric density( such as basic infrastructures …) is the most important to impact urban vitality for local citizens. In nature area, service density (such as a local market) is the most important, and commercial density accessibility (the distance from sites to bus/metro stations) is the most important. In a short, building a support tool is helpful to simulate strategies for low urban vitality or empty urban spaces on different urban land use.
Conclusion 2: Multiple Linear Regression( formulas in different urban land use)


Based on the diversity of urban land use, in a different site show that different object brings the different weights to impact urban life. So If we create a clear formula by regression, it will help experts to built a digital smart and sustainable city in order to manage urban and develop loss sites.
TOOL:
1:object library
2: interface

Future work
According to the analysis of small-scale urban vitality and cooperation with large-scale cities, it will help to generate new large-scale flows in different aspects, such as energy consumption and circulation, GDP, etc.

GHOSTtoHOST tool is a project of IaaC, Institute for Advanced Architecture of Catalonia
developed at Master in City & Technology 02 in (2019/2020) by:
Students: Xinyu Zhang
Faculties: Areti Markopoulou & Mathilde Marengo



