
Energy as a right is a proposal that rethinks the energy system of Barcelona aiming for a more sustainable, fair, democratic and efficient energy eco-system.
The proposal was developed taking the role of a local private community. Pursuing the dream of providing basic free energy for all residents of the city. Because the sun shines for free and we believe that energy should be a basic right for everyone.

In order to develop a cohesive strategy to achieve basic energy income, an extensive data collection and analysis process was carried out. In the process we came across a number of challenges and hurdles to overcome in-order to achieve our objectives.




On top of these challenges, we make our assumptions about the future of energy in 30 years, based on the Energy Transition Plan of Catalunya for 2050. The Catalan government is trying to move from a fossil fuel based energy system, dominated by 5 main companies in almost every step of the process to a greener and more distributed one.

After this transition, 80% of the energy produced is expected to come from renewable sources, some of them public, innovation will lead to reduce 40% of our current energy consumption and our CO2 emissions 75%. Some economic sectors, like agriculture and industry will face more problems to achieve the EU goal of 90% reduction so the carbon trading market may increase the following years.

We know we will have cleaner energy, but we want to go beyond. As a private community we are out of the big energy market, only accessible with a production over 100 kW, out of the scale of our buildings, and the small market, getting just a partial discount in our energy, producing our own energy and selling our excess. In case we want to reduce our energy consumption we have access to some public subsidies to renovate our building, but it is a complex process only open after paying the whole renovation project in advance.
So, what can we do as a private community?
On one side we decide to join the forces of the communities to have the advantages of the big scale and on the other hand align ourselves with the administration in order to have free energy. We want to propose a deal to the city council of barcelona through a rights and duties agreement. We commit ourselves to take care of the energy renovation of our buildings and in exchange they provide us with free energy.

How is this possible?
With the help of the government, we can raise financing and carry out the building energy savings works. The return on investment is achieved through reductions in consumption and the sale of unemitted CO2 to the market.
At the same time we assume that the money from the EU Green Deal will go towards the development of a new public distributed green electricity generation grid, which at a certain point in time will be able to cover the demand of the residential buildings once they have reduced their consumption.

With this system we are able to convert the basic energy need into a right, where a part of it will be covered and if it is exceeded, it will cost more money and will serve to pay for the system.
On the other hand, the renovation of buildings helps us also to deal with energy poverty risk. We can see the difference between the energy certificates from a 70m² house. As we notice, the difference in the annual bill is huge, around 1300 euros.
We have used the certifications and the surface of the buildings as basic sources of information for the development of the database.

In order to facilitate community engagement and provide citizens with the information they need. The u-power platform will be the main stage of interaction between communities and all stakeholders.

The platform will provide citizens with four main services, Energy Savings, Participation, Energy Consumption and the Energy market.

Energy Savings
Through the energy savings, people will be able to visualize their current community’s energy consumption and compare it to other buildings in the city. They will also be provided with a number of energy savings measures based on the age of their building.

Optimal renovation options will be provided for every building along with an approximate cost and energy savings percentage. All product related data will constantly be updated by suppliers providing current market prices. Through the platform, communities will be able to identify best solutions suited for their buildings and receive reduced prices when a minimum number of units is achieved.


To ensure continuous upgrade and maintenance of all building elements, e-contracts are put in place. We bring all the necessary stakeholders into the platform in order to facilitate the different processes which are needed throught time. The renovation activity is based on the lifespam of the different building layers.

Participation
In order to co-create a common and a collaborative space, it´s foundamental to manage the participation of the private communities and the communication with the public administration and the different stakeholders. Through this process we want to allow the design of new specific and dynamic policies in relation with the current necesities of each community. Also it´s a common space to improve the closer “build environment”.
Energy Consumption
![]()
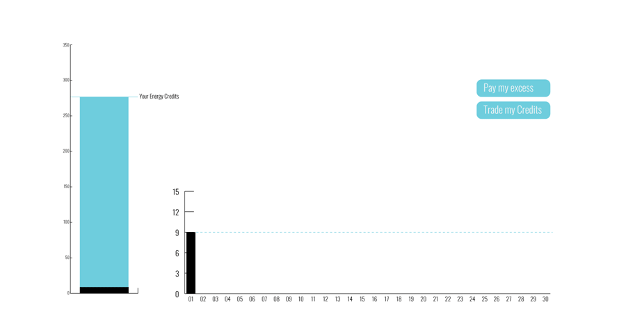
Through the platform, individuals will be able to track their energy consumption in real time. This will allow better management of the energy credits of each resident. Citizens will be able to see the days where their consumption was higher than the optimal limit and subsequently modify their behavior to improve that. If individuals don’t spend their entire energy credit within a given month, they can transfer this to another month or sell their credit on the Energy Market.
Energy Market

How will this be managed?




In case all the catalogue of renovation solutions apply, Barcelona will need to produce 50% less energy for their residential buildings and will be able to get almost 18 million euros each year, from the sale of CO2 credits, to keep working hand in hand with its citizens to defend their old and new rights.

Energy as a Right: Rethinking Barcelona Energy System is a project of IAAC, Institute for Advanced Architecture of Catalonia developed at Master in City & Technology in 2020/21 by student: Alvaro Cerezo Carrizo,Inigo Esteban, Mario Jose Gonzalez, Tugdual Sarazin, Leyla Saadi and faculty: Luis Falcon & Iacopo Neri.